月刊木村:清須市で営む塾での日々

相伝学舎という塾を経営しています。好奇心の格差時代に、大学受験を通じた成功体験の場を提供することが使命です。

2018-10-05から1日間の記事一覧

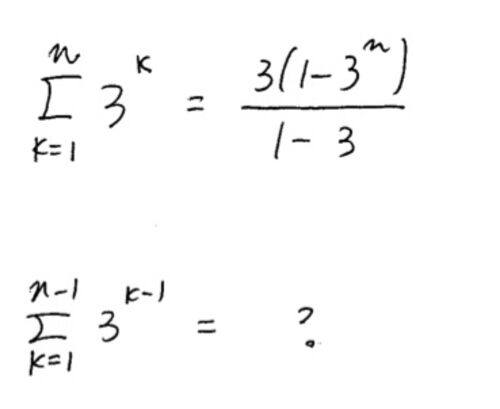
等比数列の和がシグマで表記されている問題の解き方

等比数列の和には公式がありますが、塾では数列を初めて教えるときには公式利用を禁止して、いちいち公式の導出のやり方で解かせます。導出を覚えておくとメリットだらけです。たとえば、シグマの計算で、公式ドンピシャのものはほとんどの高校生が解けます…