月刊木村:清須市で営む塾での日々

相伝学舎という塾を経営しています。好奇心の格差時代に、大学受験を通じた成功体験の場を提供することが使命です。

2025-11-01から1ヶ月間の記事一覧

疑う

中高時代は学校の先生の多くを信用していなかったため、たまに教員志望の塾生が「中学のときに良い先生がいて憧れた」などというとそんなこともあるのかと驚きます。 体感的には信用できそうな先生は20人に1人くらいでしたが、20人に1人でも信用できる人がい…

あたりはずれ2

先生には当たり外れがあるなというのを久々に実感したのが先週の授業中の出来事。 数Aの整数で不定方程式といって9x+5y=1の整数解を求める問題。普通の解き方は、まずこの方程式を満たすx,yの組を1つ見つけて、9と5が互いに素である性質を用いて10行くらいか…

あたりはずれ

自分が常に正しく教えているかというともちろん間違えたこと言ってる可能性も0ではないと思いますが、なるべく理屈で教えられるように色々勉強しています。 ただ一般的には先生には当たり外れがあるのが事実かと思います。 自分も中高とずっと英語の先生には…

読む練習

中学時代の英語学習といえば、たいていはこの手の穴埋め問題集になります。 こういう問題集でも何度も取り組むことで学校のテストの穴埋め問題を解けるようになりますが、高校入試の英文、あるいはその3年後の大学入試の英文を読むための練習には残念ながら…

過去形

中1で一番最初に扱う動詞の時制は現在形です。それから現在進行形、過去形を学んでいきます。 昨日も今日も明日も成り立つことが現在形、今この瞬間を取り上げるのが現在進行形、過去のある時点のことを指すのが過去形という理解をします。中1で勉強するくら…

共通テスト過去問

もういくつねると共通テストの時期になりました。 受験生諸君はそろそろ過去問題演習にとりかかりましょう。 過去問は問題の収録数が多い河合塾のものがおすすめです。 受験予定の科目は全て購入してください。 2026大学入学共通テスト過去問レビュー 英語 (…

長篠散策

長篠の古戦場を見てきました。 織田信長が鉄砲を構えたという馬防柵。 河岸段丘の地形を利用したらしい。 このあたりは市街地化が進んでいないので、きっと400年前当時もこんな感じだったんだろうというイメージがわきます。 10年ぶりに長篠城址・史跡保存館…

イリジウム

白亜紀最後に巨大隕石がやってきたことが分かったのは、イリジウムという宇宙には存在するが地球上にはほとんど存在しない元素の濃度を調べたことがきっかけでした。 地層の厚さが必ずしも年代の長さを意味しないことを調べるために、イリジウム濃度を用いて…

過去へタイムスリップ

大学の講義中でおすすめされていた本を借りて読んでみました。 恐竜は白亜紀と古第三紀の間(K-Pg境界)にやってきた巨大隕石によって地球環境が一変したことで絶滅されたという説が有力ですが、その説が最初は受け入れられなかったという話が書いてありまし…

文法問題

高校生になると英語の問題=文法の4択問題 になっている人も多いんじゃないでしょうか。 この手の文法問題は高校生が思っているほど読解力に結びつかないし、かといって文法問題の得点率もさほど上がらないのでおすすめしません。 受験生活で1冊もやらないで…

中1英語

中学生の英語学習ではとにかくたくさん英文を書くことが大切なんですが、中1は特にこれがあてはまります。 英文を書くときには日本語を書くときと違って、動詞の形とその後に続く名詞の置き方をよく考えないと簡単に間違えます。 この時期に英語のルールをし…

最近は晴れた日の朝がとても気持ちいいですね。 大学の並木道でおもわず写真をとりました。 こういう木々を眺めながら椅子に座ってコーヒー飲むだけで人間って幸せですよね。 相伝学舎 清須 http://www.sodeng.jpreasn いりなか・八事 http://www.reasn.jp短…

下向くな

真面目に勉強している受験生ほど、合格するかどうか不安になるものです。不安になるというのが自然な反応です。問題はどうやってその不安と付き合っていくか。 不安すぎると勉強が手につかなくてよくないし、逆に不安がなくても緊張感がなくて不健全です。 …

不安問題

私大入試は受験生の不安をあおる制度になっていて、受験日程を組むにしてもA日程だのB日程だの、組み合わせて受験するとお得など魑魅魍魎としていますが、一方で受験生のご家庭内で不安が増大することもあります。 受験生本人がというよりは保護者のかたが心…

私大入学金問題

私立大学の入学金問題。文科省が今年6月に、受験生の入学金の負担軽減を検討するよう通知しましたが中日新聞調べによれば中部9県では福井医療大、聖泉大の2校のみが返金をする方針で、14校が対応検討中そのほか7割近い大学では返金しないらしい。 入学金の問…

知らないところで…

娘の学校がインフルで学級閉鎖になり、平日昼間に遊ぶチャンスだったので名古屋市科学館の特別展、昆虫マニアックにいってきました。 娘は日頃図鑑などで勉強しているので「あっ◯◯虫だ」とか「このクモって確か触覚でガを誘い出すんだよね」などと父の全く知…

計算用紙のコツ

授業では計算用紙を大量に使います。 今日も1日の授業で30枚くらい使っている生徒がいました。 学力は消費した計算用紙の量に比例します。どんどん使いましょう。 計算用紙をつかうときのコツですが、 ・図やグラフは大きく書く 大きく書くだけで正答率が上…

目に見えない物理

力学はまだ質点の動き方が想像しやすいですが、電磁気となるともはや目に見えません。 電荷?コンデンサ?電圧?電流? 目に見えないことを想像しながら図を描いて、式を立てなければいけないので想像力を要します。 諦めなければ脳がかなり鍛えられます。 …

物理は難しいのか?

理系での勉強は数IIIよりも物理のほうが難しいという人が多いと思います。物理の難しさはいくつかあって、まず最初に問題文の日本語を文字通りに解釈する日本語の難しさがあります。 問題に取りかかるまでに1ページ以上の問題設定を読んで状況を想像しなけれ…

数IIIは難しいのか?

高校1年生が理系に進むのを躊躇する理由の一つに「数学IIIはとてつもなく難しいんじゃないか」という恐怖があります。 正直なところ数IIIはただひたすら計算が長いだけで、みなさんが想像するほど難しくありません。体感的な難しさでいえば、数Iの二次関数や…

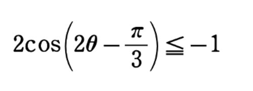
数IIの三角関数

数IIの三角関数。これは数Iの二次関数と同じくらい、高校生を打ちのめしている分野です。 こんな一見単純そうな不等式の問題さえ、8割くらいの人が間違えます。一方で、教える側からしたら、こんな単純な不等式を間違うことをあんまり想像できないので、学校…

なぎさ

飲食店でメニューが少ないと嬉しいですよね。 こうやってランチか定食かという2択にしてもらえると10秒で即決できるのでありがたい。たくさんメニューがあって悩んでる時間って、あんまり楽しくないんですよね。頼んだあとで「やっぱりあっちにしとけば良か…

おみくじに振り回されない

模試の結果なんておみくじなのだから、それを真に受けて勉強のやり方を変えようとか志望校を変えようなんてことは1mmも考えるべきではありません。神社でおみくじを引いたら「中吉か〜なんとも言えないけど取りあえず結んどこ」と思って、その辺に結んだら翌…

おみくじ

模試結果が続々と届いております。 結果を見ると、判定がAとかBとか書いてあります。 こういう判定はおみくじみたいなものなので、A判定だったら励みにして、E判定だったら「何かの間違い」とでも思っておきましょう。 結局、判定がAだろうとEだろうと毎日自…

関係副詞where

中学3年生あたりで関係代名詞を習います。関係代名詞は、直前の名詞を修飾するので形容詞として働くわりに名前は「代名詞」です。 高校生になると今度は関係副詞というものを勉強します。関係代名詞がwhich, that, whoなどであったのに対して、関係副詞はwhe…

散歩

長野県からの帰り道、妻と子ども達が木曽おもちゃ美術館に行くというので、私は単独行動で散歩しました。 こういうところはちょっと歩けば岩石の露頭があることが多いので。 小一時間ほど散歩してみましたが、岩石はなくてほとんど植生でした。 目の前の山が…

長野県怖い

長野県は飲食店のレベルがものすごく高く、適当にお店に入ってもおそらくほとんど外しません。 今回は松本市にあるマサムラという洋菓子屋さんに初めていきました。 このピーカンナッツが超おいしくて私の中で有名なんですが、店舗にはケーキ類も売っていま…

松本城の石垣

お城にいくと最初に目につくのは石垣です。 この不揃いなかんじ、とっても加工しにくそう。 近くでみてみると、斑状組織で石英らしい半透明な斑晶が見えますので流紋岩? ただ火山岩にしては斑晶が多すぎる気もします。 色味としては安山岩かデイサイトくら…

松本城

娘がお城にハマっているので松本城にいってきました。 私自身はサラリーマン時代に一度いったことがあり約15年ぶりです。 当時は平日だったこともありお客さんはスカスカでしたが、今日は激混み。お城に入るのにも、なかを見て回るのもずっと行列でした。 松…

塾経営のこつ

いりなかの教室の座席を増やしました。 ありがたいことに繁盛しているのと、塾経営者的には各学年の人数バランスが良いのが安心材料です。何年前か、受験学年だけで全体の50%とか占めていた時期は、春から経営がどうなることかと心配でした。 丁寧に教えるの…