等比数列の和には公式がありますが、塾では数列を初めて教えるときには公式利用を禁止して、いちいち公式の導出のやり方で解かせます。導出を覚えておくとメリットだらけです。たとえば、シグマの計算で、公式ドンピシャのものはほとんどの高校生が解けますが(上段)、ちょっと数字がずれると手がとまってしまいます(下段)

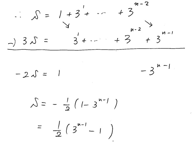
でも公式の導出手順を覚えておけば全く問題ナシ。まずは求値をSとおいて、シグマを展開します。k=1からn-1まで代入していってください。

そして、その下に等比数列の和の公式の導出のように、公比である「3」をかけたものをずらして書き、上から下を引いて出来上がりです。

慣れれば暗算でいけますが、このくらいの式なら計算用紙に書いたって30秒かかりません。
大学入試の数学は、丸暗記する部分は最小限にして、手順を覚えておくことが大事です。上の問題でいうと覚える手順とは「シグマは展開する」「公比の3をかける」「両辺引く」です。覚えるといっても、ちゃんと理由のある手順ですから思い出すのもそう難しいことではありません。
塾の数学はこういう方針で教えてますが、塾に通えない人は↓の参考書を持っておきましょう。丸暗記ではなく手順を覚える解き方がたくさん紹介されています。
